sábado, 23 de junho de 2012

Alavanca interfixa

CRIANÇAS NO BALOIÇO (séc. XVIII). Painel de azulejos portugueses no Museu do Açude
(Rio de Janeiro), antiga residência de Verão de Raymundo Ottoni de Castro Maya (1894-1968), empresário, mecenas coleccionador que deixou um legado de 22.000 obras de arte.

A figura mostra duas crianças a brincarem num baloiço constituído por um tronco apoiado no tronco de outra árvore abatida. A brincadeira consiste em andarem alternadamente para cima e para baixo, graças ao impulso que cada um delas alternadamente imprime.
Quando a criança da esquerda dá um impulso com os pés, é ela que sobe, enquanto que a criança da direita, desce. Quando esta bate com os pés no chão, dá um impulso que a faz subir, ao mesmo tempo que a criança da esquerda desce e assim sucessivamente até a brincadeira acabar.
Para a brincadeira resultar, quando estão parados, o tronco onde estão sentados tem que estar em equilíbrio. Se eles tiverem o mesmo peso,têm que se sentar à mesma distância do ponto de apoio (fulcro) do tronco onde estão sentados. Caso contrário, aquele que for mais pesado tem que ficar mais próximo do ponto de apoio, ao passo que o que for mais leve tem que ficar mais afastado desse ponto.
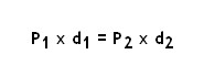
O “baloiço” constitui um exemplo daquilo que em Física se chama “alavanca interfixa”, a qual está esquematizada na figura seguinte:


Na figura estão esquematizados os pesos das crianças e as respectivas distâncias ao fulcro. A condição de equilíbrio da alavanca interfixa é:


Por outras palavras: os pesos das crianças são inversamente proporcionais às distâncias a que estas estão sentadas relativamente ao fulcro, o que está de acordo com a análise do movimento expressa na imagem do painel azulejar aqui mostrado.

sexta-feira, 22 de junho de 2012

O Verão na Pintura Portuguesa


Junho – A ceifa [Século XVI (1517-1551)]. António de Holanda (?-?).
Iluminura (10,8x14 cm) do “Livro de Horas de D. Manuel I”.
Museu Nacional de Arte Antiga, Lisboa.

O Verão, estação caracterizada por elevadas temperaturas, abrange os meses de Junho, Julho, Agosto e Setembro. A pintura portuguesa alegórica a esta época reflecte a actividade ao ar livre, característica deste período. Por um lado, as actividades agro-pastoris: tosquia de ovelhas e ceifa (Junho), debulha dos cereais nas eiras (Julho), transporte e armazenagem dos cereais (Agosto) e vindima (Setembro). Por outro lado, actividades lúdicas como os banhos de praia ou a caça.
Por ordem cronológica, os pintores por nós identificados que abordaram a temática “Verão” foram: António de Holanda (?-?), Oficina de Simon Bening (1483-1561), Autor desconhecido (Séc. XVII), Autor desconhecido (Séc. XVIII), Columbano Bordalo Pinheiro (1857-1929), D. Carlos de Bragança (1863 -1908), José Malhoa (1855-1933), Milly Possoz (1888-1967), Manuel Jardim (1884-1923), João Marques de Oliveira (1853-1927), Dordio Gomes (1890-1976), Mário Augusto (1895 - 1941), Lázaro Lozano (1906-1999) e Eduardo Malta (1900 - 1967).

Publicado inicialmente a 22 de Junho de 2012

Julho – A debulha [Século XVI (1517-1551)]. António de Holanda (?-?).
Iluminura (10,8x14 cm) do “Livro de Horas de D. Manuel I”.
Museu Nacional de Arte Antiga, Lisboa. 

Agosto – O armazenamento do cereal [Século XVI (1517-1551)].
António de Holanda (?-?). Iluminura (10,8x14 cm) do “Livro de
Horas de D. Manuel I”. Museu Nacional de Arte Antiga, Lisboa. 

Setembro – As vindimas [Século XVI (1517-1551)]. António de Holanda (?-?).
Iluminura (10,8x14 cm) do “Livro de Horas de D. Manuel I".
Museu Nacional de Arte Antiga, Lisboa. 

Junho [Século XVI (1530-1534)]. Oficina de Simon Bening (1483-1561).
Iluminura (9,8x13,3 cm) do “Livro de Horas de D. Fernando”.
Museu Nacional de Arte Antiga, Lisboa. 

Agosto [Século XVI (1530-1534)]. Oficina de Simon Bening (1483-1561).
Iluminura (9,8x13,3 cm) do “Livro de Horas de D. Fernando”.
Museu Nacional de Arte Antiga, Lisboa. 

Setembro [Século XVI (1530-1534)]. Oficina de Simon Bening (1483-1561).
Iluminura (9,8x13,3 cm) do “Livro de Horas de D. Fernando”.
Museu Nacional de Arte Antiga, Lisboa. 

O Verão (Séc. XVII). Autor desconhecido (Séc. XVII). Óleo sobre tela (80x112 cm).
Museu de Évora.  

Cena de Merenda de Caça no Verão (1767). Autor desconhecido (Séc. XVIII).
Óleo sobre tela (192 x 156 cm). Palácio Nacional de Queluz.  

Alegoria do Verão (Séc. XIX). Columbano Bordalo Pinheiro (1857-1929).
Óleo sobre tela (88 x 146,8 cm). Palácio Nacional da Ajuda, Lisboa. 

Praia de Cascais (1906). D. Carlos de Bragança (1863 -1908).
Aguarela sobre papel (24x16,5 cm). Casa-Museu Dr. Anastácio Gonçalves, Lisboa.
 
Praia das Maçãs (1918). José Malhoa (1855-1933). Óleo sobre madeira (69x87 cm).
Museu do Chiado – MNAC, Lisboa. 

Praia de pescadores – Cascais (1919). Milly Possoz (1888-1967). Pintura a guache
sobre papel (56x68,5 cm). Museu do Chiado – MNAC, Lisboa. 

Na praia - crianças na praia (Séc. XX). Manuel Jardim (1884-1923). Óleo
sobre madeira (24x18,7 cm). Museu Nacional Machado de Castro, Coimbra. 

PRAIA DE PESCADORES - PÓVOA DE VARZIM (Séc. XIX). João Marques de Oliveira
(1853-1927). Óleo sobre madeira (45x33 cm). Museu de José Malhoa, Caldas da Rainha. 

Verão" ou "A Ceifa". Dordio Gomes (1890-1976). Aguarela sobre papel. 

Praia da Figueira da Foz (1935). Mário Augusto (1895 - 1941). Óleo sobre cartão
(26,5x34,8 cm). Casa-Museu Dr. Anastácio Gonçalves, Lisboa. 

Nu na Praia (1947). Lázaro Lozano (1906-1999). Óleo sobre tela
(123x96,5 cm). Museu José Malhoa, Caldas da Rainha. 

O Verão (Séc. XX). Eduardo Malta (1900 - 1967). Óleo sobre tela
(46,2x 33 cm). Museu José Malhoa, Caldas da Rainha.

quarta-feira, 20 de junho de 2012

Começou o Verão


Verão" ou "A Ceifa", aguarela de Dordio Gomes (1890-1976).

Em 21 de Junho ou próximo a este dia, o Sol atinge o ponto mais ao norte na sua trajectória pelo céu. É o solstício de Verão, momento em que o Sol, no seu movimento aparente na esfera celeste, atinge a maior declinação em latitude, medida a partir da linha do equador. A duração do dia é então a mais longa do ano.
No Hemisfério Norte o solstício de Verão ocorre cerca do dia 21 de Junho e o solstício de Inverno por volta do dia 21 de Dezembro. Estas datas marcam, respectivamente o início do Verão e do Inverno no Hemisfério Norte. O dia e hora exactos variam de um ano para outro.
Tal como no solstício de Verão a duração do dia é a mais longa do ano, também no solstício de Inverno, a duração da noite é a mais longa do ano.
No Hemisfério Sul, o fenómeno é simétrico: o solstício de Verão ocorre em Dezembro e o solstício de Inverno ocorre em Junho. Os momentos exactos dos solstícios, que assinalam também as mudanças de estação, são determinados mediante cálculos astronómicos.

Hernâni Matos
Publicado inicialmente a 20 de Junho de 2012

terça-feira, 19 de junho de 2012

Arco-Íris


Políptico do Julgamento Final (1448-1451).
Rogier van der Weyden (c. 1399-1464).
Óleo sobre tela (215 × 560 cm).
Hôtel-Dieu of Beaune, France.

Iconografia do arco-íris
O "arco-irís” foi desde tempos remotos um tema abordado pelos grandes nomes da pintura universal, dos quais destacamos, associados por épocas/correntes da pintura:
- RENASCENÇA: Rogier van der Weyden (c. 1399-1464), flamengo; Michel Wolgemut (1434 - 1519), Wilhelm Pleydenwurff. (c. 1460-1494), Albrecht Dürer (1471–1528), todos eles alemães.
- BARROCO: Pieter Pauwel Rubens (1577-1640), flamengo; Pieter Pauwel Rubens (1577-1640), flamengo; Pieter Pauwel Rubens (1577-1640), flamengo; Jan Siberechts (1627-c.1703), flamengo; Autor desconhecido (c. 1714); Joseph Wright (1734-1797), inglês.
- RÓCÓCÓ: Jacob Cats (1741-1799), holandês.
- ROMANTIISMO: Joseph Anton Koch (1768-1839), austríaco; Joseph Anton Koch (1768-1839), austríaco; Joseph Mallord William Turner (1775-1851), ingles; John Constable (1776–1837), inglês;
- NEOCLASSICISMO: Pierre-Narcisse Guérin (1774-1833), francês.
- REALISMO: Károly Markó, o Velho (1822-1891), húngaro; John Everett Millais (1829–1896), inglês.
Trata-se em geral de paisagens onde se observam condições propícias à produção de arco-íris ou então cenas religiosas que têm a ver com o Julgamento Final ou o Dilúvio (Génesis, 9).

Ilustração da Crónica de Nuremberg (1493).
Ilustradores: Michel Wolgemut (1434 - 1519),
 Wilhelm Pleydenwurff. (c. 1460-1494).
Texto: Hartmann Schedel (1440 - 1514). 
Melancolia Imaginativa (1514).
Albrecht Dürer (1471–1528).
Gravura com placa de cobre.
British Library, London. 
Paisagem com Arco-Íris (1632-35).
Pieter Pauwel Rubens (1577-1640).
Óleo sobre tela (86x130 cm).
The Hermitage, St. Petersburg. 
Paisagem com Arco-Íris (c. 1636).
Pieter Pauwel Rubens (1577-1640).
Óleo sobre painel.
Alte Pinakothek, Munich. 
Paisagem com Arco-Íris (c. 1638).
Pieter Pauwel Rubens (1577-1640).
Óleo sobre painel (136x236 cm).
Wallace Collection, London. 
Paisagem com Arco-Íris, Henley-on-Thames (c. 1690).
Jan Siberechts (1627-c. 1703).
Óleo sobre tela (82,5x103 cm).
Tate Gallery, London. 
 Santelmo Socorrendo os Náufragos (c. 1714).
Autor desconhecido.
Óleo sobre tela.
Capela do Palácio do Corpo Santo, em Setúbal.
Paisagem com Arco-Íris (c. 1795).
Joseph Wright (1734-1797).
Óleo sobre tela (81x107 cm).
Derby Museum and Art Gallery, Derby. 
Paisagem de Outono com Arco-Íris (1779).
Jacob Cats (1741-1799).
Aguarela e caneta (334x415 mm).
Rijksmuseum, Amsterdam. 
Paisagem Heróica com Arco-Íris (1815).
Joseph Anton Koch (1768-1839).
Óleo sobre tela (188x171 cm).
Neue Pinakothek, Munich. 
Joseph Mallord William Turner (1775 1851).
Castelo Arundel no Rio Arun, com um arco-Íris (c. 1824-5).
Aguarela sobre papel (161x230 mm).
Collection Tate, England. 
Catedral de Salisbúria vista dos prados (1831).
John Constable (1776–1837).
Oil on canvas (151,8 cm×189,9 cm).
National Gallery, London. 
Paisagem Italiana com Viaduto e Arco-Íris (1838).
Károly Markó, o Velho (1822-1891).
Óleo sobre tela (75x100 cm).
Colecção privada. 
Heidelberg com um Arco-Íris (c. 1841).
Joseph Mallord William Turner (1775 1851).
Aguarela sobre papel (311x521 mm).
Colecção privada. 
A Rapariga Cega (1856).
John Everett Millais (1829–1896).
Óleo sobre tela.
Birmingham Museum and Art Gallery

O arco-íris na Mitologia e na Bíblia
Na Mitologia Greco-Latina, o arco-íris era considerado o rasto deixado pela deusa Íris, que era a mensageira dos deuses e, em particular, de Zeus e de Hera. Tinha por função estabelecer a ligação entre a Terra e o Céu, entre os deuses e os homens.
Morfeu e Íris (1811).
Pierre-Narcisse Guérin (1774-1833).
Óleo sobre tela (251x178 cm).
The Hermitage, St. Petersburg.
De acordo com a tradição bíblica, o arco-íris foi apelidado por Deus como "arco-da-aliança". No décimo sétimo dia do sétimo mês, após o Dilúvio, a arca de Noé encalhou sobre os montes de Ararat (Génesis 8,4) e Deus anunciou que nunca mais iria inundar a Terra e depois de chover, o seu arco apareceria nas nuvens e esse seria o símbolo da aliança estabelecida entre Ele todas as criaturas que estão na Terra. De acordo com Génesis, 9:
8. Disse também Deus a Noé e a seus filhos:
9. “Vou fazer uma aliança convosco e com vossa posteridade,
10. assim como com todos os seres vivos que estão convosco: as aves, os animais domésticos, todos os animais selvagens que estão convosco, desde todos aqueles que saíram da arca até todo animal da terra.
11. Faço esta aliança convosco: nenhuma criatura será destruída pelas águas do dilúvio, e não haverá mais dilúvio para devastar a terra.”
12. Deus disse: “Eis o sinal da aliança que eu faço convosco e com todos os seres vivos que vos cercam, por todas as gerações futuras:
13. Ponho o meu arco nas nuvens, para que ele seja o sinal da aliança entre mim e a terra.
14. Quando eu tiver coberto o céu de nuvens por cima da terra, o meu arco aparecerá nas nuvens,
15. e me lembrarei da aliança que fiz convosco e com todo ser vivo de toda espécie, e as águas não causarão mais dilúvio que extermine toda criatura.
16. Quando eu vir o arco nas nuvens, eu me lembrarei da aliança eterna estabelecida entre Deus e todos os seres vivos de toda espécie que estão sobre a terra.”
17. Dirigindo-se a Noé, Deus acrescentou: “Este é o sinal da aliança que faço entre mim e todas as criaturas que estão na terra.”

Paisagem com as ofertas de Noé (c. 1803).
Joseph Anton Koch (1768-1839).
Óleo sobre tela (86×116 cm).
Städelsches Kunstinstitut und Städtische Galerie, Frankfurt am Main.

A Física do arco-íris
O arco-íris é um fenómeno óptico causado pela dispersão da luz do Sol que sofre refracção nas gotas de chuva, que são aproximadamente esféricas ou então próximo de quedas de água. A luz sofre uma refracção inicial quando penetra na superfície da gota de chuva, aproximando-se da normal ao ponto de incidência, uma vez que passa dum meio opticamente menos denso (ar) para um meio opticamente mais denso (água). Dentro da gota, a luz sofre reflexão interna total, voltando agora a sofrer nova refracção ao sair da gota. Como a luz transita agora dum meio opticamente mais denso (água) para um meio opticamente menos denso (ar), a luz afasta-se da normal ao ponto de emergência. O resultado final é que a luz branca do sol, que é uma luz composta de luz de diferentes cores (comprimentos de onda ou frequências), ao emergir das gotas aparece decomposta num espectro de sete cores: vermelho, laranja, amarelo, verde, azul, anil e violeta. A luz violeta é mais desviada que a luz vermelha, mas é esta que aparece mais alta no ceu e constitui a cor mais externa do arco-íris.

Mecanismo de dispersão da luz do sol numa gota de águ
(Imagem retirada da Wikipédia)

O arco-íris não existe num local determinado do céu. Trata-se de uma ilusão de óptica cuja posição aparente depende da posição do observador. Ainda que todas as gotas de chuva refractem e reflictam a luz do sol de igual maneira, apenas a luz de algumas chega até o olho do observador. Estas gotas são compreendidas como o arco-íris para aquele observador. A sua posição é sempre na direcção oposta do Sol em relação ao observador, sendo o seu interior uma imagem aumentada do Sol, ligeiramente menos brilhante que o exterior. Quanto ao arco em si, ele é centrado na sombra do observador, aparecendo num um ângulo de aproximadamente 40°– 42° com a linha entre a cabeça do observador e sua sombra Por isso, se o Sol está mais alto que 42°, o arco-íris fica abaixo do horizonte e não pode ser visto, a menos que o observador esteja no topo de uma montanha ou num aeroplano. Neste último é possível ver o círculo completo do arco-íris, centrado na sombra do avião.
Os arco-íris podem ser visualizados com diferentes tamanhos porque, o que depende do ângulo de visão. Se perto do arco-íris existirem objectos longínquos, como montanhas, o arco-íris parecerá maior. Se pelo contrário, estiver perto de objectos mais próximos, parecerá menor.
Por vezes, um segundo arco-íris mais fraco é visto no exterior do arco-íris principal, o que é devido a uma dupla reflexão da luz do sol nas gotas de chuva, aparecendo num ângulo de 50°–53°. Devido a esta reflexão extra, as cores do arco passam a ter posições invertidas em relação às do arco-íris principal, com o azul no lado exterior e o vermelho no interior.